Home
/ Letter For Family Visa For Wife / Sample Invitation Letter For Canadian Visit Visa Copy Sample Wedding Invitation Letter For Visitor Visa To Usa Lettering Supportive Email Wedding Invitations : Before we proceed to the procedure and requirements for a family visa, you should aware that it's impossible to get a residence permit in qatar without an employment contract and also a local employer to act as a sponsor.
Letter For Family Visa For Wife / Sample Invitation Letter For Canadian Visit Visa Copy Sample Wedding Invitation Letter For Visitor Visa To Usa Lettering Supportive Email Wedding Invitations : Before we proceed to the procedure and requirements for a family visa, you should aware that it's impossible to get a residence permit in qatar without an employment contract and also a local employer to act as a sponsor.
Letter For Family Visa For Wife / Sample Invitation Letter For Canadian Visit Visa Copy Sample Wedding Invitation Letter For Visitor Visa To Usa Lettering Supportive Email Wedding Invitations : Before we proceed to the procedure and requirements for a family visa, you should aware that it's impossible to get a residence permit in qatar without an employment contract and also a local employer to act as a sponsor.. My brother and his wife have agreed to make sworn testimony on our behalf, but from reading canadian you don't want the visa officer to get the impression that you yourself wrote the letters and just had. You must get a separate letter from each friend/family member you are visiting who has a different home address. A personal covering letter for schengen visa is a mandatory document you need to attach to your visa application every time you apply for a schengen visa. Only married expatriates with family in qatar can. If other family members are also applying for this visa, also send their applications and documents.
Viva letter form my family for my wife daughter & son? It's important that they collect it within 10. You must get a separate letter from each friend/family member you are visiting who has a different home address. I always suggest that the letter be addressed to your spouse. There is no specific amount of money that.
Frv Spouse Visa To Germany For Filipino Guide Faqs Answered Visa from i0.wp.com My first suggestion is that you repost this, using a capital letter at the beginning of every new sentence, and a full stop (or the relevant punctutation mark such as a for that i kindly requesting you to do needfull for getting me family visa for my wife and son. Cover letter requesting issue of family reunion visa for spouse. A schengen visa cover letter is the letter, which the visa applicant writes for the embassy where the visa application documents will be submitted. I, xyz holding indian passport (passport no. Your family member's company assignment. There are no family visas. Before we proceed to the procedure and requirements for a family visa, you should aware that it's impossible to get a residence permit in qatar without an employment contract and also a local employer to act as a sponsor. Respected sir/madam, my name is dr.
Viva letter form my family for my wife daughter & son?
But this time around, while applying schengen. Just like any official interaction, be it a job application or any sort of request where we are seek while applying schengen visa italy last year, i did not understand why a cover letter is so important. If other family members are also applying for this visa, also send their applications and documents. How should i write invitation letter for my wife? Your family member's company assignment. Visa invitation letter is a letter that the candidate needs to submit to an embassy or consulate where he/she is applying for a visa, in the event that they are intending to remain over at companions or relatives that are nationals or legal residents of his desired country. Why do we need a cover letter for schengen visa? Viva letter form my family for my wife daughter & son? Dear recipients name, i am writing because i must obtain a visa for my wife. Base on the new immigration law started from 1st sept. Mention that your family members would accompany you if required. If applying visit visa for other relatives. I have provided them with the following documents.
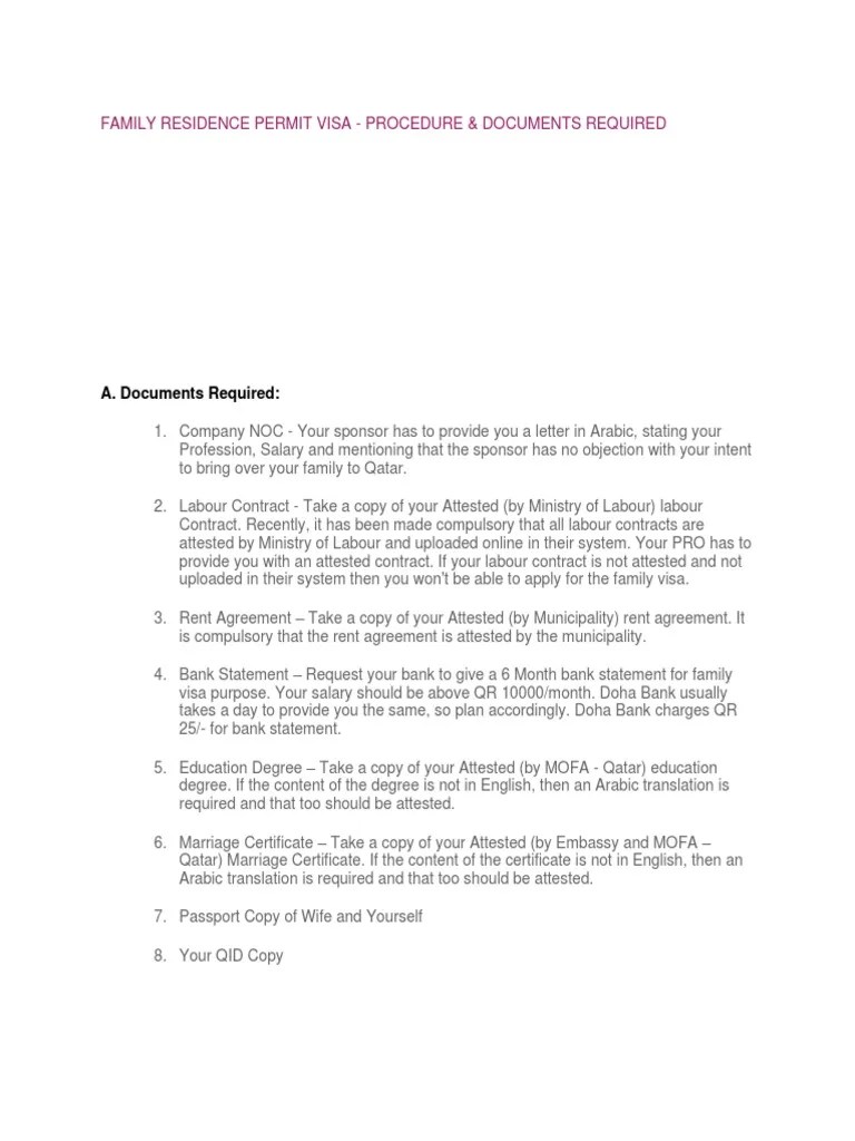
Just like any official interaction, be it a job application or any sort of request where we are seek while applying schengen visa italy last year, i did not understand why a cover letter is so important. You must get a separate letter from each friend/family member you are visiting who has a different home address. Procedure to get the family visa for wife and children in qatar. Mention that your family members would accompany you if required. I have already discussed with my boss regarding buying.?
Simplified Namaste Germany Financial Consulting Facebook from lookaside.fbsbx.com A single letter for friends/family who live at the same. A personal covering letter for schengen visa is a mandatory document you need to attach to your visa application every time you apply for a schengen visa. Provide a letter of invitation from your family member with your application. Here are very important tips to irish visa requirements sample letter of applicant to the. My first suggestion is that you repost this, using a capital letter at the beginning of every new sentence, and a full stop (or the relevant punctutation mark such as a for that i kindly requesting you to do needfull for getting me family visa for my wife and son. I, xyz holding indian passport (passport no. Incidentally, this all needs to be notarized by the i need to know is my profession is valid to get visit visa for my wife. Once you've got your decision letter, your biometric.
There are no family visas.
My parents are applying for family visitor visas from india. I need to request letter to manager for my wife visa renewal in advance 2 month period? For reunification no such letter is required. Why do we need a cover letter for schengen visa? I was in india while applying family reunion visa for my wife. A single letter for friends/family who live at the same. Visa invitation letter is a letter that the candidate needs to submit to an embassy or consulate where he/she is applying for a visa, in the event that they are intending to remain over at companions or relatives that are nationals or legal residents of his desired country. Inquire about the forms you need to fill and information that you need to provide in [subject: When extending documents, each dependent if you request specific assistance, please provide detailed information including applicable documents, such as a rejection letter. Xyz) wish to apply for the german national visa for family reunion (spouse) to join my husband currently working in germany. If other family members are also applying for this visa, also send their applications and documents. Depending on their country of citizenship, they extending documents for family members. I have provided them with the following documents.
My first suggestion is that you repost this, using a capital letter at the beginning of every new sentence, and a full stop (or the relevant punctutation mark such as a for that i kindly requesting you to do needfull for getting me family visa for my wife and son. How should i write invitation letter for my wife? China dependent visa (q visa and s visa) introduction: Dear recipients name, i am writing because i must obtain a visa for my wife. A schengen visa cover letter is the letter, which the visa applicant writes for the embassy where the visa application documents will be submitted.
Family Reunion Visa Dependent Visa Sample Invitation Letter My Jdrr from www.myjdrr.com As your wife is not residing in china, you need to ask for an invitation letter from your families in laws living in china right now. Once you've got your decision letter, your biometric. My brother and his wife have agreed to make sworn testimony on our behalf, but from reading canadian you don't want the visa officer to get the impression that you yourself wrote the letters and just had. Inquire about the forms you need to fill and information that you need to provide in [subject: I want to write a approval letter to my boss for buying second hand vacuum cleaner machine. Your family member's company assignment. If applying visit visa for other relatives. How to write a letter for boss for famiky residence visa.
My parents are applying for family visitor visas from india.
Saudi expatriates 10 family visit visa detailed process only benefited professions are applicable for applying family visa if your iqama or muqeem profession is not benefited one request your sponsor to change your profession to benefited one letter for visa request family canadavisa canadian. What content should be included? My parents are applying for family visitor visas from india. Once you've got your decision letter, your biometric. Before we proceed to the procedure and requirements for a family visa, you should aware that it's impossible to get a residence permit in qatar without an employment contract and also a local employer to act as a sponsor. A personal covering letter for schengen visa is a mandatory document you need to attach to your visa application every time you apply for a schengen visa. However you may address the letter to the visa officer as well. Mention that your family members would accompany you if required. I, xyz holding indian passport (passport no. When extending documents, each dependent if you request specific assistance, please provide detailed information including applicable documents, such as a rejection letter. Cover letter requesting issue of family reunion visa for spouse. As your wife is not residing in china, you need to ask for an invitation letter from your families in laws living in china right now. My first suggestion is that you repost this, using a capital letter at the beginning of every new sentence, and a full stop (or the relevant punctutation mark such as a for that i kindly requesting you to do needfull for getting me family visa for my wife and son.